发布时间:2026-02-26 |
浏览量:31
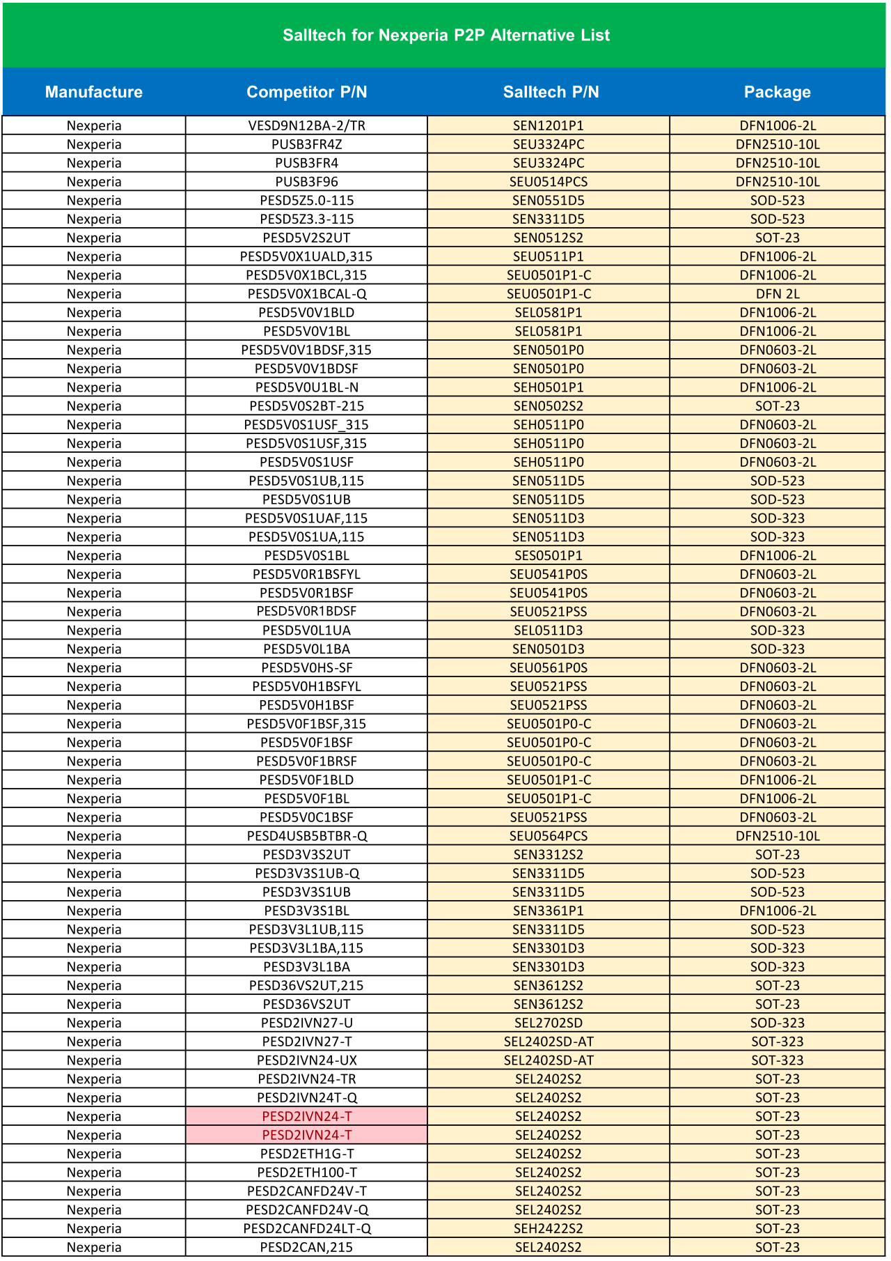
伟德betvlctor体育电子精心打造了一条极为丰富的产品线,几乎能够全面覆盖安世同类产品的应用场景。从 Content 工作表中,能清晰看到其产品功能广泛,涵盖了齐纳二极管、FRED(快速恢复外延二极管)、各类恢复整流器、MOSFET(金属 - 氧化物半导体场效应晶体管)、双极结型晶体管等多个重要类别,均可作为安世对应产品的替换之选。
01 丰富产品线,全面覆盖替代需求
MOSFET 与双极结型晶体管:核心替代力量


MOSFET 工作表充分展现了伟德国际在该领域可作为安世产品核心替代力量的深厚底蕴。对于安世高性能需求的 PSMN7R0 - 100PS 型号,伟德国际的 SG45N10T5 - C(封装为 TO - 220AB - L)是理想的替代选择。在双极结型晶体管方面,伟德国际的产品无疑能在信号放大、功率控制等核心应用中,成为安世产品的有力替代。
ZENER齐纳二极管:稳定替代之选







在 ZENER 工作表里,伟德betvlctor体育的齐纳二极管产品表现亮眼。比如安世的某些经典型号,伟德国际的 MM3Z9V1F(封装为 SOD - 323HE)能完美适配进行替代,有效稳定电路电压。还有 MM3Z8V2F 等型号,以多样的封装形式,满足不同设计下对安世产品替换的个性化需求。
FRED 领域:高效替代担当

伟德国际 FRED(VRRM = 600 - 1200V, IF = 8 - 60A),在对快速恢复外延二极管要求严格的电路中,伟德国际的产品能出色应对电压和电流的复杂变化。
整流器系列:可靠替代伙伴
Fast Recovery Rectifier

Ultra Fast Recovery Rectifier

Super Fast Recovery Rectifier

整流器家族是伟德国际产品线中的重要成员,无论是快速恢复整流器(TRR = 150 - 500ns)、超快恢复整流器(TRR = 50 - 100ns),还是超快速恢复整流器(TRR = 25 - 50ns)以及通用整流器(VRRM = 50 - 1700V),都有对应的产品可作为安世同类产品的可靠替代伙伴。在各类需要整流功能的电路中,它们能稳定发挥作用。
SKY:灵动替代使者




SKY 工作表里,伟德国际的开关二极管宛如灵动的替代使者。它们在电路的信号切换、逻辑控制等方面,可完美接替安世产品的工作,保障电路信号的有序传递。
TVS(瞬态电压抑制二极管):电压冲击防护替代盾牌

在电子设备的安全防护中,TVS 二极管不可或缺。TVS 工作表里,伟德国际的 P4SMA51A(封装 SMA)等产品能有效抵御瞬间高压的冲击,这些产品如同坚固的盾牌,守护着电子设备的核心部件,使其免受电压瞬变的损害。
ESD(静电放电保护器件):静电防护替代卫士


ESD 工作表中的一系列替代型号能为设备提供全方位的静电防护,像对于安世的一些 ESD 保护型号,伟德国际对应的产品能及时释放静电,防止静电对电子设备造成损害,确保设备的稳定性和可靠性,是电子设备静电防护的忠诚卫士。
SWITCHING(开关二极管):精准信号切换替代先锋



SWITCHING 类型的产品中,伟德国际的开关二极管在信号切换方面表现卓越。它们能精准地执行电路中的开关动作,无论是在简单的逻辑电路还是复杂的通信电路中,伟德国际的开关二极管都能高效完成任务,保障信号的准确传输,是信号切换领域的替代先锋。
GENERAL(通用二极管等):广泛应用的替代基石

在 GENERAL 相关产品中,伟德国际的通用二极管等产品可在众多通用电路场景中替代安世产品。它们具有稳定的性能,能适应不同的工作环境和电路要求。在一些对二极管性能要求较为基础但需要广泛应用的电路中,伟德国际的产品能够稳定发挥作用,成为电子电路构建的可靠替代基石。
BJT(双极结型晶体管):信号放大与功率控制的替代核心





BJT 工作表双极结型晶体管无疑能在信号放大、功率控制等核心应用中,成为安世产品的有力替代。在一些需要对信号进行放大处理或者进行功率调节的电路中,伟德国际的 BJT 产品能够展现出良好的性能,稳定实现信号的放大和功率的控制,是电路中的替代核心力量。
02 品质与成本兼具的替代优势
品质至上:坚守企业生命线
伟德betvlctor体育自成立之初,便将品质视为企业的生命。在研发与生产的每一个环节,都严格遵循国际先进的行业标准和规范,确保每一款产品都具备卓越的性能和高度的稳定性。无论是在极端的环境条件下,还是在复杂的工作工况中,都能稳定运行。
成本优化:兼顾效益与优势
对于众多企业而言,成本是关键考量。伟德betvlctor体育凭借先进的生产工艺、高效的管理模式以及规模化的生产能力,成功实现了可替代产品成本的优化。
专业服务:护航替代全程无忧
专业技术人员组成的服务团队,为客户提供全方位、一站式的服务。从产品选型的咨询建议,帮助客户精准匹配可替代安世的产品,到应用设计的技术支持,确保替代产品能完美融入原有电路设计,再到售后维护的及时响应,解决替代过程中可能出现的各种问题,伟德国际的服务团队始终与客户保持紧密的沟通与合作。通过提供个性化的解决方案和优质的服务体验,让客户在选择伟德国际作为安世替代产品时毫无后顾之忧。